多臺冷卻塔并聯安裝時,集水盤之間的連接管就是我們所說的冷卻塔平衡管。其主要作用是平衡各冷卻塔集水盤之間的水位,保證水流均勻。那么你知道冷卻塔平衡管尺寸的計算和測量方法嗎?
按照《采暖通風與空調設計規范》的要求規范》,當多臺開式冷卻塔設計并聯運行且無集水箱時,應允許并聯冷卻塔與水泵之間管段的壓力損失大致相同,要達到這一效果,并聯冷卻塔之間可配置平衡管,也可在各塔底部配置連接水箱。并聯式冷卻塔在很多冷卻塔項目中都采用,因為配置平衡管的方法簡單,易于實施。與在出水管上加裝電動蝶閥相比,耗錢更少。但《采暖通風空調設計規范》并未說明冷卻塔平衡管尺寸應如何計算。
中國建筑工業出版社出版的《簡明空調設計手冊》中指出“冷卻塔平衡管尺寸應與進水管尺寸相同”,但沒有詳細解釋了如何計算。因此,本文主要討論平衡管尺寸的計算方法,為廣大同仁奠定基礎。冷卻塔實際并聯運行中,當底部裝有平衡管,出水管未裝電動蝶閥,部分冷卻塔停止運行時,經常會出現其中一臺冷卻塔繼續補水而另一臺冷卻塔停止運行的情況。其他冷卻塔溢出。本文也將在研究冷卻塔平衡管尺寸計算公式的基礎上,對這一現象給出合理的解釋。為了簡單起見,本文僅討論兩個開式冷卻塔的并聯運行。計算模型示意圖如下圖所示。
開式冷卻塔并聯運行計算模型示意圖
In圖中,MV為電動蝶閥。當一個單元停止運行時,就相當于關機。 BV是手動蝶閥,常開,維護時關閉。 CWP為冷卻水泵,WCC水冷機組。現假設冷卻塔1及其進水電動蝶閥關閉,冷卻塔2運行。由于水進入冷卻塔2上部,而冷卻塔1和冷卻塔2同時排水,兩塔水位發生變化,產生高度差,導致水從冷卻塔流出2通過平衡管進入冷卻塔1 c.達到動態平衡時,水位高差為△h,即圖1所示狀態。為保證不發生溢流,溢流管入口處水位與補水時水位高度差啟動時必須小于高度差。而且,這個高度差Δh也是平衡管c中水流的唯一驅動力。從流體力學的基本理論可知,為了計算平衡管c的尺寸,首先必須知道平衡管c需要承受的流量。當水流達到動態平衡時,a管和c管之間的流量必須相等。然而,由于很難精確計算a管的流量,因此本文嘗試通過討論a管和b管的流量之間的關系來粗略估計流經a管的流量。
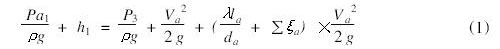
1.分析管道a和管道b的流量。根據流體力學理論,假設水是理想流體,并且在運行過程中穩定流動。那么根據伯努利方程,第1-1節和第3節之間的能量方程為:
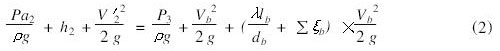
第2-2段與第3段能量方程為:< /p>
式中:Pa1、Pa2——水面大氣壓,Pa:ρ——水的密度,kg/m3g——重力加速度,m /S2; P3-3斷面壓力,Pa; Va——管道a的流速,m/s; λ——沿途阻力系數,無量綱量; la——管道長度a、m; da——管道直徑a、m; ρψa——管道a的局部阻力系數之和,無量綱量; V′2——冷卻塔2集水板表面的水流速度,m/s; Vb——管道b的流速,m/s; lb——管道b長度,m; db——管道直徑b,m; ρψb——管道b的局部阻力系數之和,無量綱量。經過對各種冷卻塔樣品的計算,確認進水流經填料層流到達收集器。當水盤位于上表面時,流速一般小于0101m/s,因此式(2)中省略了含有V'2的項。由于運行中的冷卻塔風機的抽吸作用,Pa2將小于Pa1。為了簡化計算,這里忽略這個因素。結合(2)-(1)可得
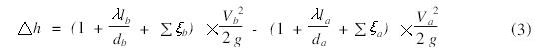
△h=h2-h1,最大值為溢流管入口水位和開始補水時的水位 水位的高差。檢查樣本顯示該值大概在012m-014m之間。
在如圖1所示的接管方法中,la=lb,da=db,ρΣa=ρΣb,因此:
![]()
式中:lc——平衡管長度,m; dc——平衡管直徑,m; Vc——平衡管內水流速,m/s; ρψc——平衡管c的局部阻力系數之和。無量綱量也忽略了Pa1和Pa2之間差異的影響,并且忽略了包含V'2的項。由式(5)推導出
由流量計算公式Q=A×V也可知:
< img src="/kindeditor/attached/image/20210417/20210417103440504050 .jpg" alt="冷卻塔平衡管尺寸計算" width="384" height="47" title="冷卻塔平衡管尺寸計算"align=" " />
由(7)式得:
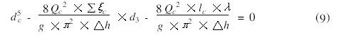
將式(8)代入式(6)并整理進入:

式(9)是平衡管尺寸的計算公式。然后將式(9)寫成函數形式:
然后求f(d)=0的解。該方程可用牛頓迭代法求解,即:
確定其他參數的值后,代入某個初始值d0代入式(10)進行迭代計算,即可求解。
3.冷卻塔平衡管計算實例。實際工程中,選用2座流量為250m3/h的冷卻塔,設計出口管道尺寸為200mm。各參數取值如下:λ=01037,ρ彎頭=1,ρ入口=019,ρ彎頭=019,ρ蝶閥=015,計算出平衡管流量為12??5m3/h。分別取△h為012m、013m、014m進行模擬計算。結果如表1所示。
觀察表1的計算結果,會發現當流量一定時,△h對冷卻量大小的影響塔平衡管不容忽視。根據樣品來看,不同塔的△h值并不完全相同。這告訴我們,設計者在為冷卻塔選擇平衡管時,不應簡單地以主管尺寸作為平衡管尺寸,而應根據現場環境進行詳細計算。
如果在實際的冷卻塔工程中發現溢流,我們可以根據這個計算公式進行分析,就會知道溢流的原因大致有以下幾種:
(1)尺寸選擇太小,流通能力有限。
(2)管道有臟物堵塞,或蝶閥損壞而不能完全開啟,造成阻力系數增大,流通能力降低。
(3)并聯出口主管的阻力本質上是不平衡的,導致a管的流量大于b管的流量,即使平衡管的流量為大于總流量的一半。
四.結論本文從理論上推導了開式冷卻塔并聯運行時平衡管尺寸的定位,并得到了相應的計算公式。研究表明,水位差對平衡管尺寸有著不可忽視的影響。建議設計人員根據實際工況進行計算。
以上就是冷卻塔平衡管尺寸的測量方法。如果你不明白也沒關系。如果您對冷卻塔有任何疑問,可以致電冷卻塔廠家廣東康明節能空調有限公司(http://www.szkangming.com/),我們將竭誠為您服務。


以上就是工業冷卻塔維修廠家廣東康明節能空調為大家帶來(冷卻塔平衡管尺寸計算及測量方法,冷卻塔平衡閥作用)介紹,希望對大家有所幫助,更多冷卻塔資訊請繼續關注我們吧。
廣東康明節能空調是專業從事冷卻塔銷售以及配件維修主要銷售金日冷卻塔及配件維修,良機冷卻塔及配件維修,馬利冷卻塔及配件維修,BAC冷卻塔及配件維修,斯頻德,康明,明新,菱電等冷卻塔配件以及維修,廣東康明節能空調期待與您的合作!
本文鏈接:http://www.hengtong888.cn/baike/9495.html
廣東康明節能空調有限公司
聯 系 人:
王經理
聯系電話:
13728927868
公司郵箱:
km23055667@163.com
公司地址:
深圳市龍華區龍華大道2125號衛東龍商務大廈A座1916A